|
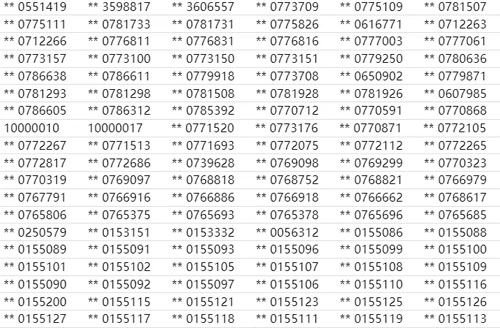
通报 【直报网北京10月22日讯】(三生)2025年9月低价链接下架106条,恢复正价159条。终止营销人员资格114人。终止的营销人员有: ![]() (原标题:三生发布9月关于网络乱价销售情况的处理通报) 责任编辑:一一 【特别声明:部分文字及图片来源于网络,仅供学习和交流使用,不具有任何商业用途,其目的在于传递更多的信息,并不代表本平台赞同其观点。版权归原作者所有,如涉版权或来源标注有误,请及时和我们取得联系,我们将迅速处理,谢谢!】 解读新闻热点、呈现敏感事件、更多独家分析,尽在以下微信公号,扫描二维码免费阅读。
|














